Polystyrène
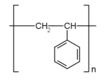
Le polystyrène est le polymère -) n -, obtenu par la polymérisation des monomères de styrène CH 2 =CH-Ph
Recherche sur Google Images :
Source image : fr.academic.ru Cette image est un résultat de recherche de Google Image. Elle est peut-être réduite par rapport à l'originale et/ou protégée par des droits d'auteur. |
Page(s) en rapport avec ce sujet :
- Home / Matériaux de Construction / Polystyrène expansé (PSE)... Le polystyrène est produit par polymérisation de styrène (enchaînement de molécules... (source : crti-b)
- Le polystyrène est produit à partir du styrène monomère dérivé du pétrole, par une... Grâce à ses 98% d'air, le PSE est sans conteste le vrai... (source : styropor-verpackungen)
- Le polystyrène est obtenu par polymérisation du styrène.... Le PSE ou polystyrène expansé est obtenu par mélange d'un gaz et de PS cristal.... (source : dictionnaire.sensagent)
| Polystyrène | |
|---|---|
![]() |
|
| Général | |
| No CAS | |
| Propriétés chimiques | |
| Formule brute | C8H8 [Isomères] |
| Masse molaire[1] | 104, 1491 ± 0, 007 g·mol-1 C 92, 26 %, H 7, 74 %, |
| Propriétés physiques | |
| T° transition vitreuse | 95 °C[2] |
| Propriétés électroniques | |
| constante diélectrique | 2, 6 (1 kHz, 25 °C) 2, 6 (1 MHz, 25 °C) 2, 6 (1 GHz, 25 °C) [3] |
| Propriétés optiques | |
| Indice de réfraction | 1, 57–1, 60 [4] |
|
|
|
Le polystyrène (PS en abrégé) est le polymère - (CH2-CH (Ph) ) n-, obtenu par la polymérisation des monomères de styrène CH2=CH-Ph
Caractéristiques
Il peut se présenter sous différente forme (Cristal, Choc, Expansé etc. ).
Le polystyrène de base, nommé PS cristal, est une matière dure et cassante, pouvant être transparente ou colorée. Ses propriétés mécaniques et thermiques peuvent être modifiées par l'ajout de plastifiants ou de butadiène (caoutchouc) pour en faire un polystyrène dit choc.
C'est un matériau particulièrement facile à transformer, par injection ou extrusion par exemple.
D'une manière pratique, on le reconnait à son côté cassant avec un blanchissement sur les zones de contraintes. La façon la plus rapide de reconnaître un plastique est de le brûler pour observer la flamme, la fumée et sentir l'odeur ; ce qu'il vaut mieux ne pas faire compte tenu de l'envisageable toxicité des gaz lors de la combustion de certains plastiques. Le polystyrène est aisément reconnaissable à sa fumée noire ainsi qu'à son odeur caractéristique. On peut aussi le distinguer au bruit particulièrement métallique qu'il produit en subissant un choc, par exemple en tombant sur une surface dure.
Le polystyrène, hormis son côté cassant, souffre aussi d'une faible résistance chimique et d'une faible résistance à la fissuration sous contrainte ("ESCR"). L'acétone le dissout particulièrement aisément, les corps gras le fragilisent rapidement.
Le polystyrène est le plus commun de la famille des polymères styréniques. Cette famille contient les différents copolymères du styrène : styrène-butadiène (SBR), styrène-acrylonitrile (SAN), acrylonitrile butadiène styrène (ABS), acrylonitrile styrène acrylate (ASA)...
Les copolymères du type styrène-butadiène ("SBC") permettent d'augmenter la résistance au choc en gardant la transparence. La teneur en butadiène est plus élevée que dans un PS choc et le mode de polymérisation est différent. Ces copolymères sont utilisés soit seuls, soit en mélange avec le polystyrène cristal. Ces mélanges PS cristal et SBC sont communs en extrusion.
Le polystyrène cristal est cependant extrudé seul dans des unités d'orientation pour former des feuilles d'"OPS" (Oriented PolyStyrene ou polystyrène orienté). Cette orientation se fait avec des grades de PS cristal à haut poids moléculaire, dans des unités d'orientation en sens machine puis sens transverse ; elle confère une meilleure tenue mécanique à la feuille ainsi obtenue.
Le polystyrène est non biodégradable mais il se recycle aisément après étuvage [réf. nécessaire]. Son code d'identification est le 6.
Selon sa tacticité, le polystyrène peut être :
| Atactique | Syndiotactique | Isotactique | |
|---|---|---|---|
| Cristallinité | Amorphe | Cristallinité moyenne | Cristallinité élevée |
| Point de fusion | Pas de point de fusion | 270 °C | 240 °C |
| Produit commercial | Oui | Peu | Non |
| Première fabrication | 1985 : N. Ishihara (Idemitsu Kosan Co. LTD) | 1955 : Giulio Natta | |
| Méthode de fabrication | Polymérisation par catalyse avec un métallocène | Polymérisation Ziegler-Natta |
Synthèse
Le polysytyrène est issue de la pétrochimie. Le polystyrène est obtenu par polymérisation du styrène. C'est dans un autoclave que la réaction aboutit au polystyrène.

Le PSE ou polystyrène expansé est obtenu par mélange d'un gaz et de PS cristal. Avant les préoccupations pour la couche d'ozone, on utilisait le fréon, un gaz CFC (chlorofluorocarboné), remplacé depuis les années 90 par le butane ou le pentane. On peut extruder directement le mélange en plaques ou feuilles pour faire des isolants ou thermoformer des barquettes alimentaires ; on parle de PSE extrudé. On peut aussi façonner des microbilles vendues à des transformateurs. Ceux-ci, dans un outillage qui a la forme de la pièce à obtenir, versent la quantité indispensable de ces billes et injectent de la vapeur. Celle-ci relance l'expansion du gaz qui dilate les billes et la chaleur les soude entre elles tandis qu'elles s'agglutinent. On parle de PSE injecté.
Utilisations
L'application la plus connue du grand public est le polystyrène expansé ou PSE (quelquefois nommé "frigolite"), mousse blanche compacte qui permet de emballer les appareils sensibles aux chocs (électroménager, chaîne Hi-fi... ).
Les propriétés de ces plastiques industriels sont utilisées dans de nombreux domaines :
- Résistance aux chocs :
- Articles de décoration ou matériel de bureau - PS cristal injecté (double-décimètres, équerres et rapporteurs d'écolier)
- Logistique - Calages en PSE - transport de produits fragiles (électroménager ; lave-linge, ordinateur, sèche-linge, réfrigérateur, four etc. )
- Maquettisme (maquette) - particulièrement utilisé dans le domaine où les pièces sont présentées en grappe à peindre. La'carte plastique'est ni plus ni moins qu'un morceau rectangulaire de PS choc. Le côté cassant de ce type de polystyrène est fréquemment particulièrement atténué pour permettre un maximum de manipulation.
- Maison de disques - Protection en PS cristal (Boîtier CD)
- Isolant thermique :
- Bâtiment/constructions - cloisons isolantes - plaque, coffrage (blocs ou panneaux) sous forme expansée (PSE ou en anglais EPS). La mise en œuvre des blocs, panneaux permet en une seule et même opération d'ériger des murs à la fois isolé et en béton armé.
- Froid - Transport de produits frais ou surgelés - parois en PSE (camions frigorifiques, glacière).
- Grande distribution - rayon libre service pour l'emballage des produits frais (viande tranchée, charcuterie, plateau barbecue etc. )
- Mareyage (mareyeur) & poissonnerie - emballage alimentaire en PSE (caisse marée)
- Stockage de produits frais ou surgelés parois en PSE (chambres frigorifiques)
- Imperméabilité / Nettoyabilité :
- Alimentaire - Emballage en PS choc (pots d'yaourt, crème fraiche)
- Hématologie - matériel en PS cristal (Plaque de laboratoire, flacon)
- RHF (Restauration Hors Foyer) / vaisselle à usage unique - Gobelets en plastique en PS choc thermoformé (distributeurs automatiques surtout) ou transparent en PS cristal injecté (flûtes et verres à pied pour cocktails, verrine).
- RHF (Restauration Hors Foyer) / vaisselle à usage unique - Couverts en plastique à usage unique (PS Blanc, opaque, avec additif choc, code ISO : PSB).
- Densité :
- Nautisme - Flotteurs en PSE (balises, ligne d'eau).
- Logistique - Diminuer le poids des emballages (Feuille allégée en XPS)
- Propriété électrostatique :
- Médecine - traitement des hyperkaliémies par résine échangeuse de cations en polystyrène de sodium ou Kayexalate.
Selon les utilisations, la forme et la manière d'obtention du polystyrène, il peut avoir plusieurs désignations : NUDURA (coffrage isolant vert de PSE certifié CSTB), Quad-Lock (coffrage isolant de PSE certifié ISO 14001 et ISO 9001, le plus souvent de couleur verte), KNAUF Therm (panneaux isolants de PSE), Styrodur (XPS pour isolation, le plus souvent de couleur verte), Polyfoam (XPS pour isolation, le plus souvent de couleur orange), Ursaa (Généralement de couleur jaune), Roofmate (PSE pour isolation, Le plus souvent de couleur bleue), Styrofoam (XPS pour isolation, Le plus souvent de couleur bleue), Dépron (PSE pour isolation), Sagex, CROMA (Machines de Découpe au Fil Chaud 2 Axes et 4 Axes pour PSE/XPS - Thermo-cutter)... etc.
Écologie
Des prestataires de recyclage s'intéressent de plus en plus à ce matériau sous forme pure[réf. nécessaire]. La demande en matière de développement durable augmentant la filière de valorisation matière du polystyrène est en pleine expansion et des entreprises proposent de broyer le plastique pour le commercialiser à un prix concurrentiel au polystyrène sortant des usines pétrochimique[réf. nécessaire]. Malheureusement, cette voie de recyclage ne se retrouve que sur des cas précis (dans le cadre d'entreprise consommant une grande quantité de polystyrène) car il est complexe de mettre en place une filière de recyclage du polystyrène auprès des collectivités [5]. A notre échelle individuelle de consommateur, ce déchet n'entre pas dans la liste des matériaux collectables lors du tri sélectif et son élimination pose un véritable problème ; aujourd'hui il termine sa vie dans les incinérateurs.
Selon l'agence Locale de l'Énergie de l'agglomération lyonnaise, les isolants à base de polystyrène ne sont pas recyclables. L'énergie grise du polystyrène expansé (850 kWh/m3) fait partie des plus élevées de l'ensemble des autres isolants regroupés. Qui plus est , cet isolant développe de façon assez conséquente les champs électrostatiques [6].
Effet sur la couche d'ozone
Le Polystyrène expansé (PSE) dégage du pentane contribuant à l'effet de serre (formation d'ozone photochimique) : 0, 000519 kg équivalent éthylène /UF/an. Ce dernier est généréralement récupéré par le producteur de blocs de polystyrène expansé. [7].
Risque sur la santé
Dégagement de styrène à la chaleur [8]. Selon l'Agence internationale de recherche sur le cancer, le styrène pourrait être cancérogène pour l'homme. Plusieurs études effectuées sur une population de salariés exposés au styrène ont mis en évidence un risque de leucémie. Des études sur des animaux ont montré que le styrène est faiblement cancérogène par inhalation ou ingestion.
Voir aussi
- Alain Resnais a réalisé en 1958, un court métrage Le Chant du styrène. En quatorze minutes, nous remontons de l'objet (un bol) jusqu'au polystyrène et au styrène qui le compose. Le texte en alexandrins a été rédigé par Raymond Queneau. Le récitant est Pierre Dux. L'orchestre est dirigé par Georges Delerue. Ce court métrage répond à une commande de la société Péchiney. http ://www. dailymotion. com/bookmarks/lilalilou/video/x5p0a7_le-chant-du-styrene_tech
- Dans sa chanson intitulée Rockin'in the Free World, Neil Young dénonce sur un ton ironique les effets du polystyrène sur la couche d'ozone ; "... Got Styrofoam boxes for the ozone layer... " (nous avons des boîtes en polystyrène pour la couche d'ozone).
Bibliographie
- L'isolation écologique J-P. Oliva éditions Terre Vivante
Notes et Références
- Masse molaire calculée selon Atomic weights of the elements 2007 sur www. chem. qmul. ac. uk
- (en) Charles E. Wilkes, James W. Summers, Charles Anthony Daniels, Mark T. Berard, PVC Handbook, Hanser Verlag, 2005 (ISBN 1569903794) [lire en ligne]
- (en) David R. Lide, CRC Handbook of Chemistry and Physics, CRC Press Inc, 2009, 90e éd. , Relié, 2804 p. (ISBN 978-1-420-09084-0)
- (en) J. G. Speight, Norbert Adolph Lange, Lange's handbook of chemistry, McGraw-Hill, 2005, 16e éd. , 1623 p. (ISBN 0071432205) , p. 2.807
- Étude de faisabilité d'une filière de recyclage du polypropylène et polystyrène auprès d'une entreprise publique
- Agence Locale de l'Énergie de l'agglomération lyonnaise dans sa fiche technique sur le polystyrène expansé
- Agence Locale de l'Energie de l'agglomération lyonnaise dans sa fiche technique sur le polystyrène expansé
- Agence Locale de l'Energie de l'agglomération lyonnaise dans sa fiche technique sur le polystyrène expansé
Liens externes
Recherche sur Amazone (livres) : |
Voir la liste des contributeurs.
La version présentée ici à été extraite depuis cette source le 13/12/2010.
Ce texte est disponible sous les termes de la licence de documentation libre GNU (GFDL).
La liste des définitions proposées en tête de page est une sélection parmi les résultats obtenus à l'aide de la commande "define:" de Google.
Cette page fait partie du projet Wikibis.






Accueil
Recherche
Début page
Contact
Imprimer
Accessibilité