Polymérisation cationique
La polymérisation cationique est un type de polymérisation en chaîne dans lequel le centre actif est de nature cationique.
Recherche sur Google Images :
![]() Source image : chimie.sup.pagesperso-orange.fr Cette image est un résultat de recherche de Google Image. Elle est peut-être réduite par rapport à l'originale et/ou protégée par des droits d'auteur. |
Page(s) en rapport avec ce sujet :
- Pour toute polymérisation en chaîne, on distingue : l'amorçage consiste en la... La polymérisation cationique est un mode de polymérisation où le site... (source : dictionnaire.sensagent)
- a) Déterminer l'expression de la vitesse d'amorçage (vitesse d'apparition de .... tion de rupture, et degré de polymérisation de la chaîne obtenue.... c) Expliquer pourquoi la polymérisation cationique est bien adaptée pour ce... (source : concours-centrale-supelec)
- Pour toute polymérisation en chaîne on distingue : L` amorçage sous un... La polymérisation cationique est un mode de polymérisation où le site actif est ... (source : umc.edu)
La polymérisation cationique est un type de polymérisation en chaîne dans lequel le centre actif est de nature cationique (ions libres, liaison polarisée ou paire d'ions). Elle est constituée de l'amorçage, la propagation, peut-être de transfert et de terminaison. Les monomères concernés sont ceux qui possèdent des groupements électro-donneurs.

Amorçage et Propagation
L'amorçage se fait fréquemment avec un acide. Des acides de Bröensted comme l'acide sulfurique ou triflique peuvent être utilisés, mais aussi des acides de lewis, peut-être en présence d'un coamorceur, tels AlCl3, TiCl<small style="line-height :1.5em;font-size :80%"><sub>4</sub></small> etc.
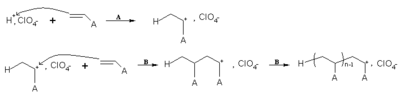
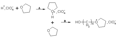
Voici deux exemples de mécanisme d'amorçage suivi de la propagation :


L'amorçage conduit à la création d'une charge positive sur le monomère. La charge positive est propagée par assemblage successif de monomère en extrémité de chaîne, ce qui entraine la croissance de la chaîne.
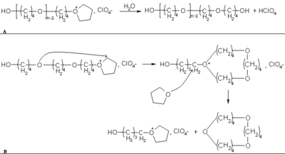
Transfert et Terminaison
Le transfert peut se faire avec le solvant, le monomère, le polymère (réactions parasites) ou avec un agent de transfert introduit pour par exemple diminuer la longueur des chaînes. La terminaison conduit à l'arrêt de la croissance de la chaîne sans que la croissance d'une autre chaîne n'ait lieue en conséquence (contrairement au transfert).
Voir aussi
Liens externes
Recherche sur Amazone (livres) : |
Voir la liste des contributeurs.
La version présentée ici à été extraite depuis cette source le 13/12/2010.
Ce texte est disponible sous les termes de la licence de documentation libre GNU (GFDL).
La liste des définitions proposées en tête de page est une sélection parmi les résultats obtenus à l'aide de la commande "define:" de Google.
Cette page fait partie du projet Wikibis.